



Abstract:In recent times, except for sporadic cases, the trend in Computer Vision is to achieve minor improvements over considerable increases in complexity. To reverse this tendency, we propose a novel method to boost image classification performances without an increase in complexity. To this end, we revisited ensembling, a powerful approach, not often adequately used due to its nature of increased complexity and training time, making it viable by specific design choices. First, we trained end-to-end two EfficientNet-b0 models (known to be the architecture with the best overall accuracy/complexity trade-off in image classification) on disjoint subsets of data (i.e. bagging). Then, we made an efficient adaptive ensemble by performing fine-tuning of a trainable combination layer. In this way, we were able to outperform the state-of-the-art by an average of 0.5\% on the accuracy with restrained complexity both in terms of number of parameters (by 5-60 times), and FLoating point Operations Per Second (by 10-100 times) on several major benchmark datasets, fully embracing the green AI.



Abstract:The paper surveys recent extensions of the Long-Short Term Memory networks to handle tree structures from the perspective of learning non-trivial forms of isomorph structured transductions. It provides a discussion of modern TreeLSTM models, showing the effect of the bias induced by the direction of tree processing. An empirical analysis is performed on real-world benchmarks, highlighting how there is no single model adequate to effectively approach all transduction problems.




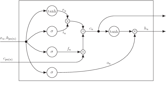
Abstract:Extractive compression is a challenging natural language processing problem. This work contributes by formulating neural extractive compression as a parse tree transduction problem, rather than a sequence transduction task. Motivated by this, we introduce a deep neural model for learning structure-to-substructure tree transductions by extending the standard Long Short-Term Memory, considering the parent-child relationships in the structural recursion. The proposed model can achieve state of the art performance on sentence compression benchmarks, both in terms of accuracy and compression rate.