Umeå University




Abstract:We introduce Lovelace, a tool for creating corpora of semantic graphs. The system uses graph expansion grammar as a representational language, thus allowing users to craft a grammar that describes a corpus with desired properties. When given such grammar as input, the system generates a set of output graphs that are well-formed according to the grammar, i.e., a graph bank. The generation process can be controlled via a number of configurable parameters that allow the user to, for example, specify a range of desired output graph sizes. Central use cases are the creation of synthetic data to augment existing corpora, and as a pedagogical tool for teaching formal language theory.





Abstract:Fairness is central to the ethical and responsible development and use of AI systems, with a large number of frameworks and formal notions of algorithmic fairness being available. However, many of the fairness solutions proposed revolve around technical considerations and not the needs of and consequences for the most impacted communities. We therefore want to take the focus away from definitions and allow for the inclusion of societal and relational aspects to represent how the effects of AI systems impact and are experienced by individuals and social groups. In this paper, we do this by means of proposing the ACROCPoLis framework to represent allocation processes with a modeling emphasis on fairness aspects. The framework provides a shared vocabulary in which the factors relevant to fairness assessments for different situations and procedures are made explicit, as well as their interrelationships. This enables us to compare analogous situations, to highlight the differences in dissimilar situations, and to capture differing interpretations of the same situation by different stakeholders.





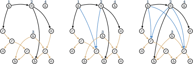
Abstract:Graph-based semantic representations are valuable in natural language processing, where it is often simple and effective to represent linguistic concepts as nodes, and relations as edges between them. Several attempts has been made to find a generative device that is sufficiently powerful to represent languages of semantic graphs, while at the same allowing efficient parsing. We add to this line of work by introducing graph extension grammar, which consists of an algebra over graphs together with a regular tree grammar that generates expressions over the operations of the algebra. Due to the design of the operations, these grammars can generate graphs with non-structural reentrancies; a type of node-sharing that is excessively common in formalisms such as abstract meaning representation, but for which existing devices offer little support. We provide a parsing algorithm for graph extension grammars, which is proved to be correct and run in polynomial time.
