



Abstract:Photometric stereo is a method that seeks to reconstruct the normal vectors of an object from a set of images of the object illuminated under different light sources. While effective in some situations, classical photometric stereo relies on a diffuse surface model that cannot handle objects with complex reflectance patterns, and it is sensitive to non-idealities in the images. In this work, we propose a novel approach to photometric stereo that relies on dictionary learning to produce robust normal vector reconstructions. Specifically, we develop two formulations for applying dictionary learning to photometric stereo. We propose a model that applies dictionary learning to regularize and reconstruct the normal vectors from the images under the classic Lambertian reflectance model. We then generalize this model to explicitly model non-Lambertian objects. We investigate both approaches through extensive experimentation on synthetic and real benchmark datasets and observe state-of-the-art performance compared to existing robust photometric stereo methods.




Abstract:This paper introduces a novel approach to robust surface reconstruction from photometric stereo normal vector maps that is particularly well-suited for reconstructing surfaces from noisy gradients. Specifically, we propose an adaptive dictionary learning based approach that attempts to simultaneously integrate the gradient fields while sparsely representing the spatial patches of the reconstructed surface in an adaptive dictionary domain. We show that our formulation learns the underlying structure of the surface, effectively acting as an adaptive regularizer that enforces a smoothness constraint on the reconstructed surface. Our method is general and may be coupled with many existing approaches in the literature to improve the integrity of the reconstructed surfaces. We demonstrate the performance of our method on synthetic data as well as real photometric stereo data and evaluate its robustness to noise.




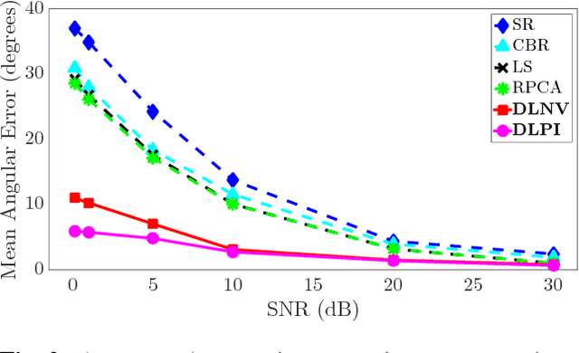
Abstract:Photometric stereo is a method for estimating the normal vectors of an object from images of the object under varying lighting conditions. Motivated by several recent works that extend photometric stereo to more general objects and lighting conditions, we study a new robust approach to photometric stereo that utilizes dictionary learning. Specifically, we propose and analyze two approaches to adaptive dictionary regularization for the photometric stereo problem. First, we propose an image preprocessing step that utilizes an adaptive dictionary learning model to remove noise and other non-idealities from the image dataset before estimating the normal vectors. We also propose an alternative model where we directly apply the adaptive dictionary regularization to the normal vectors themselves during estimation. We study the practical performance of both methods through extensive simulations, which demonstrate the state-of-the-art performance of both methods in the presence of noise.