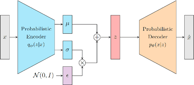
Abstract:Latent variable models, including variational autoencoders (VAE), remain a central tool in modern deep generative modeling due to their scalability and a well-founded probabilistic formulation. These models rely on amortized variational inference to enable efficient posterior approximation, but this efficiency comes at the cost of a shared parametrization, giving rise to the amortization gap. We propose the instance-adaptive variational autoencoder (IA-VAE), an amortized variational inference framework in which a hypernetwork generates input-dependent modulations of a shared encoder. This enables input-specific adaptation of the inference model while preserving the efficiency of a single forward pass. By leveraging instance-specific parameter modulations, the proposed approach can achieve performance comparable to standard encoders with substantially fewer parameters, indicating a more efficient use of model capacity. Experiments on synthetic data, where the true posterior is known, show that IA-VAE yields more accurate posterior approximations and reduces the amortization gap. Similarly, on standard image benchmarks, IA-VAE consistently improves held-out ELBO over baseline VAEs, with statistically significant gains across multiple runs. These results suggest that increasing the flexibility of the inference parametrization through instance-adaptive modulation is a key factor in mitigating amortization-induced suboptimality in deep generative models.
Abstract:Despite the extensive literature on training loss functions, the evaluation of generalization on the validation set remains underexplored. In this work, we conduct a systematic empirical and statistical study of how the validation criterion used for model selection affects test performance in neural classifiers, with attention to early stopping. Using fully connected networks on standard benchmarks under $k$-fold evaluation, we compare: (i) early stopping with patience and (ii) post-hoc selection over all epochs (i.e. no early stopping). Models are trained with cross-entropy, C-Loss, or PolyLoss; the model parameter selection on the validation set is made using accuracy or one of the three loss functions, each considered independently. Three main findings emerge. (1) Early stopping based on validation accuracy performs worst, consistently selecting checkpoints with lower test accuracy than both loss-based early stopping and post-hoc selection. (2) Loss-based validation criteria yield comparable and more stable test accuracy. (3) Across datasets and folds, any single validation rule often underperforms the test-optimal checkpoint. Overall, the selected model typically achieves test-set performance statistically lower than the best performance across all epochs, regardless of the validation criterion. Our results suggest avoiding validation accuracy (in particular with early stopping) for parameter selection, favoring loss-based validation criteria.
Abstract:The specialized language and complex concepts in physics pose significant challenges for information extraction through Natural Language Processing (NLP). Central to effective NLP applications is the text embedding model, which converts text into dense vector representations for efficient information retrieval and semantic analysis. In this work, we introduce PhysBERT, the first physics-specific text embedding model. Pre-trained on a curated corpus of 1.2 million arXiv physics papers and fine-tuned with supervised data, PhysBERT outperforms leading general-purpose models on physics-specific tasks including the effectiveness in fine-tuning for specific physics subdomains.
Abstract:Over the past few decades, electroencephalography (EEG) monitoring has become a pivotal tool for diagnosing neurological disorders, particularly for detecting seizures. Epilepsy, one of the most prevalent neurological diseases worldwide, affects approximately the 1 \% of the population. These patients face significant risks, underscoring the need for reliable, continuous seizure monitoring in daily life. Most of the techniques discussed in the literature rely on supervised Machine Learning (ML) methods. However, the challenge of accurately labeling variations in epileptic EEG waveforms complicates the use of these approaches. Additionally, the rarity of ictal events introduces an high imbalancing within the data, which could lead to poor prediction performance in supervised learning approaches. Instead, a semi-supervised approach allows to train the model only on data not containing seizures, thus avoiding the issues related to the data imbalancing. This work proposes a semi-supervised approach for detecting epileptic seizures from EEG data, utilizing a novel Deep Learning-based method called SincVAE. This proposal incorporates the learning of an ad-hoc array of bandpass filter as a first layer of a Variational Autoencoder (VAE), potentially eliminating the preprocessing stage where informative band frequencies are identified and isolated. Results indicate that SincVAE improves seizure detection in EEG data and is capable of identifying early seizures during the preictal stage as well as monitoring patients throughout the postictal stage.




Abstract:Explainable Artificial Intelligence (XAI) aims to provide insights into the decision-making process of AI models, allowing users to understand their results beyond their decisions. A significant goal of XAI is to improve the performance of AI models by providing explanations for their decision-making processes. However, most XAI literature focuses on how to explain an AI system, while less attention has been given to how XAI methods can be exploited to improve an AI system. In this work, a set of well-known XAI methods typically used with Machine Learning (ML) classification tasks are investigated to verify if they can be exploited, not just to provide explanations but also to improve the performance of the model itself. To this aim, two strategies to use the explanation to improve a classification system are reported and empirically evaluated on three datasets: Fashion-MNIST, CIFAR10, and STL10. Results suggest that explanations built by Integrated Gradients highlight input features that can be effectively used to improve classification performance.




Abstract:An interesting case of the well-known Dataset Shift Problem is the classification of Electroencephalogram (EEG) signals in the context of Brain-Computer Interface (BCI). The non-stationarity of EEG signals can lead to poor generalisation performance in BCI classification systems used in different sessions, also from the same subject. In this paper, we start from the hypothesis that the Dataset Shift problem can be alleviated by exploiting suitable eXplainable Artificial Intelligence (XAI) methods to locate and transform the relevant characteristics of the input for the goal of classification. In particular, we focus on an experimental analysis of explanations produced by several XAI methods on an ML system trained on a typical EEG dataset for emotion recognition. Results show that many relevant components found by XAI methods are shared across the sessions and can be used to build a system able to generalise better. However, relevant components of the input signal also appear to be highly dependent on the input itself.




Abstract:In recent years, Artificial Neural Networks (ANNs) have been introduced in Structural Health Monitoring (SHM) systems. An unsupervised method with a data-driven approach allows the ANN training on data acquired from an undamaged structural condition to detect structural damages. In standard approaches, after the training stage, a decision rule is manually defined to detect anomalous data. However, this process could be made automatic using machine learning methods, whom performances are maximised using hyperparameter optimization techniques. The paper proposes an unsupervised method with a data-driven approach to detect structural anomalies. The methodology consists of: (i) a Variational Autoencoder (VAE) to approximate undamaged data distribution and (ii) a One-Class Support Vector Machine (OC-SVM) to discriminate different health conditions using damage sensitive features extracted from VAE's signal reconstruction. The method is applied to a scale steel structure that was tested in nine damage's scenarios by IASC-ASCE Structural Health Monitoring Task Group.




Abstract:In the Machine Learning (ML) literature, a well-known problem is the Dataset Shift problem where, differently from the ML standard hypothesis, the data in the training and test sets can follow different probability distributions, leading ML systems toward poor generalisation performances. This problem is intensely felt in the Brain-Computer Interface (BCI) context, where bio-signals as Electroencephalographic (EEG) are often used. In fact, EEG signals are highly non-stationary both over time and between different subjects. To overcome this problem, several proposed solutions are based on recent transfer learning approaches such as Domain Adaption (DA). In several cases, however, the actual causes of the improvements remain ambiguous. This paper focuses on the impact of data normalisation, or standardisation strategies applied together with DA methods. In particular, using \textit{SEED}, \textit{DEAP}, and \textit{BCI Competition IV 2a} EEG datasets, we experimentally evaluated the impact of different normalization strategies applied with and without several well-known DA methods, comparing the obtained performances. It results that the choice of the normalisation strategy plays a key role on the classifier performances in DA scenarios, and interestingly, in several cases, the use of only an appropriate normalisation schema outperforms the DA technique.




Abstract:Over the last few years, we have seen increasing data generated from non-Euclidean domains, which are usually represented as graphs with complex relationships, and Graph Neural Networks (GNN) have gained a high interest because of their potential in processing graph-structured data. In particular, there is a strong interest in exploring the possibilities in performing convolution on graphs using an extension of the GNN architecture, generally referred to as Graph Convolutional Neural Networks (GCNN). Convolution on graphs has been achieved mainly in two forms: spectral and spatial convolutions. Due to the higher flexibility in exploring and exploiting the graph structure of data, recently, there is an increasing interest in investigating the possibilities that the spatial approach can offer. The idea of finding a way to adapt the network behaviour to the inputs they process to maximize the total performances has aroused much interest in the neural networks literature over the years. This paper presents a novel method to adapt the behaviour of a GCNN to the input proposing two ways to perform spatial convolution on graphs using input-based filters which are dynamically generated. Our model also investigates the problem of discovering and refining relations among nodes. The experimental assessment confirms the capabilities of the proposed approach, which achieves satisfying results using simple architectures with a low number of filters.