



Abstract:The ability to predict wind is crucial for both energy production and weather forecasting. Mechanistic models that form the basis of traditional forecasting perform poorly near the ground. In this paper, we take an alternative data-driven approach based on supervised learning. We analyze a massive dataset of wind measured from anemometers located at 10 m height in 32 locations in two central and north west regions of Italy (Abruzzo and Liguria). We train supervised learning algorithms using the past history of wind to predict its value at a future time (horizon). Using data from a single location and time horizon we compare systematically several algorithms where we vary the input/output variables, the memory of the input and the linear vs non-linear learning model. We then compare performance of the best algorithms across all locations and forecasting horizons. We find that the optimal design as well as its performance vary with the location. We demonstrate that the presence of a reproducible diurnal cycle provides a rationale to understand this variation. We conclude with a systematic comparison with state of the art algorithms and show that, when the model is accurately designed, shallow algorithms are competitive with more complex deep architectures.





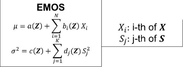
Abstract:All numerical weather prediction models used for the wind industry need to produce their forecasts starting from the main synoptic hours 00, 06, 12, and 18 UTC, once the analysis becomes available. The six-hour latency time between two consecutive model runs calls for strategies to fill the gap by providing new accurate predictions having, at least, hourly frequency. This is done to accommodate the request of frequent, accurate and fresh information from traders and system regulators to continuously adapt their work strategies. Here, we propose a strategy where quasi-real time observed wind speed and weather model predictions are combined by means of a novel Ensemble Model Output Statistics (EMOS) strategy. The success of our strategy is measured by comparisons against observed wind speed from SYNOP stations over Italy in the years 2018 and 2019.
