



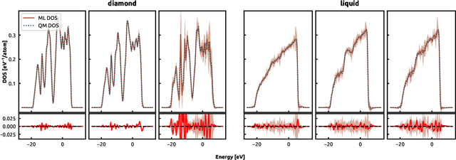
Abstract:The electronic density of states (DOS) quantifies the distribution of the energy levels that can be occupied by electrons in a quasiparticle picture, and is central to modern electronic structure theory. It also underpins the computation and interpretation of experimentally observable material properties such as optical absorption and electrical conductivity. We discuss the challenges inherent in the construction of a machine-learning (ML) framework aimed at predicting the DOS as a combination of local contributions that depend in turn on the geometric configuration of neighbours around each atom, using quasiparticle energy levels from density functional theory as training data. We present a challenging case study that includes configurations of silicon spanning a broad set of thermodynamic conditions, ranging from bulk structures to clusters, and from semiconducting to metallic behavior. We compare different approaches to represent the DOS, and the accuracy of predicting quantities such as the Fermi level, the DOS at the Fermi level, or the band energy, either directly or as a side-product of the evaluation of the DOS. The performance of the model depends crucially on the smoothening of the DOS, and there is a tradeoff to be made between the systematic error associated with the smoothening and the error in the ML model for a specific structure. We demonstrate the usefulness of this approach by computing the density of states of a large amorphous silicon sample, for which it would be prohibitively expensive to compute the DOS by direct electronic structure calculations, and show how the atom-centred decomposition of the DOS that is obtained through our model can be used to extract physical insights into the connections between structural and electronic features.