



Abstract:Generative AI has the potential to revolutionize drug discovery. Yet, despite recent advances in machine learning, existing models cannot generate molecules that satisfy all desired physicochemical properties. Herein, we describe IDOLpro, a novel generative chemistry AI combining deep diffusion with multi-objective optimization for structure-based drug design. The latent variables of the diffusion model are guided by differentiable scoring functions to explore uncharted chemical space and generate novel ligands in silico, optimizing a plurality of target physicochemical properties. We demonstrate its effectiveness by generating ligands with optimized binding affinity and synthetic accessibility on two benchmark sets. IDOLpro produces ligands with binding affinities over 10% higher than the next best state-of-the-art on each test set. On a test set of experimental complexes, IDOLpro is the first to surpass the performance of experimentally observed ligands. IDOLpro can accommodate other scoring functions (e.g. ADME-Tox) to accelerate hit-finding, hit-to-lead, and lead optimization for drug discovery.



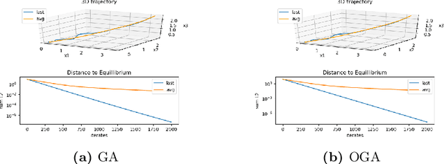
Abstract:Motivated by Generative Adversarial Networks, we study the computation of Nash equilibrium in concave network zero-sum games (NZSGs), a multiplayer generalization of two-player zero-sum games first proposed with linear payoffs. Extending previous results, we show that various game theoretic properties of convex-concave two-player zero-sum games are preserved in this generalization. We then generalize last iterate convergence results obtained previously in two-player zero-sum games. We analyze convergence rates when players update their strategies using Gradient Ascent, and its variant, Optimistic Gradient Ascent, showing last iterate convergence in three settings -- when the payoffs of players are linear, strongly concave and Lipschitz, and strongly concave and smooth. We provide experimental results that support these theoretical findings.