Virginia Tech
Abstract:This study presents a Reinforcement Learning (RL)-based portfolio management model tailored for high-risk environments, addressing the limitations of traditional RL models and exploiting market opportunities through two-sided transactions and lending. Our approach integrates a new environmental formulation with a Profit and Loss (PnL)-based reward function, enhancing the RL agent's ability in downside risk management and capital optimization. We implemented the model using the Soft Actor-Critic (SAC) agent with a Convolutional Neural Network with Multi-Head Attention (CNN-MHA). This setup effectively manages a diversified 12-crypto asset portfolio in the Binance perpetual futures market, leveraging USDT for both granting and receiving loans and rebalancing every 4 hours, utilizing market data from the preceding 48 hours. Tested over two 16-month periods of varying market volatility, the model significantly outperformed benchmarks, particularly in high-volatility scenarios, achieving higher return-to-risk ratios and demonstrating robust profitability. These results confirm the model's effectiveness in leveraging market dynamics and managing risks in volatile environments like the cryptocurrency market.




Abstract:We propose a nonparametric and time-varying directed information graph (TV-DIG) framework to estimate the evolving causal structure in time series networks, thereby addressing the limitations of traditional econometric models in capturing high-dimensional, nonlinear, and time-varying interconnections among series. This framework employs an information-theoretic measure rooted in a generalized version of Granger-causality, which is applicable to both linear and nonlinear dynamics. Our framework offers advancements in measuring systemic risk and establishes meaningful connections with established econometric models, including vector autoregression and switching models. We evaluate the efficacy of our proposed model through simulation experiments and empirical analysis, reporting promising results in recovering simulated time-varying networks with nonlinear and multivariate structures. We apply this framework to identify and monitor the evolution of interconnectedness and systemic risk among major assets and industrial sectors within the financial network. We focus on cryptocurrencies' potential systemic risks to financial stability, including spillover effects on other sectors during crises like the COVID-19 pandemic and the Federal Reserve's 2020 emergency response. Our findings reveals significant, previously underrecognized pre-2020 influences of cryptocurrencies on certain financial sectors, highlighting their potential systemic risks and offering a systematic approach in tracking evolving cross-sector interactions within financial networks.



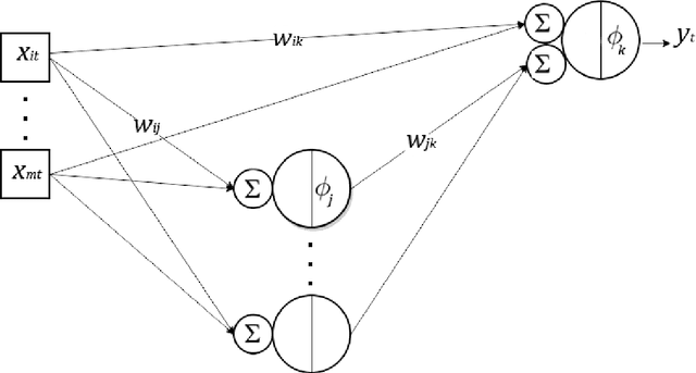
Abstract:This paper considers improved forecasting in possibly nonlinear dynamic settings, with high-dimension predictors ("big data" environments). To overcome the curse of dimensionality and manage data and model complexity, we examine shrinkage estimation of a back-propagation algorithm of a deep neural net with skip-layer connections. We expressly include both linear and nonlinear components. This is a high-dimensional learning approach including both sparsity L1 and smoothness L2 penalties, allowing high-dimensionality and nonlinearity to be accommodated in one step. This approach selects significant predictors as well as the topology of the neural network. We estimate optimal values of shrinkage hyperparameters by incorporating a gradient-based optimization technique resulting in robust predictions with improved reproducibility. The latter has been an issue in some approaches. This is statistically interpretable and unravels some network structure, commonly left to a black box. An additional advantage is that the nonlinear part tends to get pruned if the underlying process is linear. In an application to forecasting equity returns, the proposed approach captures nonlinear dynamics between equities to enhance forecast performance. It offers an appreciable improvement over current univariate and multivariate models by RMSE and actual portfolio performance.