Abstract:We study the impact of deploying reconfigurable intelligent surfaces (RISs) in mitigating coverage gaps and enhancing transmission reliability in an industrial internet of things (IIoT) network. First, we consider a single blockage scenario and characterize the correlation between blocking events of the base station (BS)-user and the RIS-user links and study its impact on the probability of establishing a viable reflected link. Then, by considering multiple blockages, we derive the distribution of the signal to noise ratio (SNR) as a function of data size, blockage density, the number of RISs, and the deployment area. We analyze the impact of normalized blockage radius and identify the threshold beyond which the assumption of independent blockages deviates from the ground truth of correlated blocking. Finally, we compare the outage performance of this RIS-assisted system with that operated with network- controlled relays, and demonstrate that while the relays provide a higher reliability beyond a certain blockage threshold, increasing the number of RISs may help mitigate this effect. These insights offer valuable design guidelines for deploying RIS-aided IIoT networks in dense blockage environments.
Abstract:Molecular communication (MC) offers a groundbreaking approach to communication inspired by biological signaling. It is particularly suited for environments where traditional electromagnetic methods fail, such as fluid mediums or within the human body. This study focuses on addressing a major challenge in MC systems: inter symbol interference (ISI), which arises due to the random, diffusive propagation of molecules. We propose a novel technique that leverages transmission shaping to mitigate ISI effectively by designing optimal transmission pulse (or sequence) for symbols. Our approach centers on solving a multi-objective optimization problem that aims to maximize the separability of individual symbol's responses within the symbol duration while matching the interference caused by molecular spillover for all symbols. By making ISI of each symbol similar, the approach reduces the effect of previous symbols and thus not require any adaptive computations. We introduce a geometric analogy involving two families of ellipses to derive the optimal solution. Analytical insights are supported by numerical simulations to design optimized transmission profiles to enhance the resilience toward ISI. The proposed transmission shaping method is evaluated through symbol error rate (SER). These results mark a significant step forward in developing robust and efficient MC systems, opening doors to advanced applications in bio-inspired and nano-scale communication technologies.




Abstract:An efficient channel estimation is of vital importance to help THz communication systems achieve their full potential. Conventional uplink channel estimation methods, such as least square estimation, are practically inefficient for THz systems because of their large computation overhead. In this paper, we propose an efficient convolutional neural network (CNN) based THz channel estimator that estimates the THz channel factors using uplink sub-6GHz channel. Further, we use the estimated THz channel factors to predict the optimal beamformer from a pre-given codebook, using a dense neural network. We not only get rid of the overhead associated with the conventional methods, but also achieve near-optimal spectral efficiency rates using the proposed beamformer predictor. The proposed method also outperforms deep learning based beamformer predictors accepting THz channel matrices as input, thus proving the validity and efficiency of our sub-6GHz based approach.




Abstract:A network of nanomachines (NMs) can be used to build a target detection system for a variety of promising applications. They have the potential to detect toxic chemicals, infectious bacteria, and biomarkers of dangerous diseases such as cancer within the human body. Many diseases and health disorders can be detected early and efficiently treated in the future by utilizing these systems. To fully grasp the potential of these systems, mathematical analysis is required. This paper describes an analytical framework for modeling and analyzing the performance of target detection systems composed of multiple mobile nanomachines of varying sizes with passive/absorbing boundaries. We consider both direct contact detection, in which NMs must physically contact the target to detect it, and indirect sensing, in which NMs must detect the marker molecules emitted by the target. The detection performance of such systems is calculated for degradable and non-degradable targets, as well as mobile and stationary targets. The derived expressions provide various insights, such as the effect of NM density and target degradation on detection probability.
Abstract:Millimeter-waves' propagation characteristics create prospects for spatial and temporal spectrum sharing in a variety of contexts, including cognitive spectrum sharing (CSS). However, CSS along with omnidirectional sensing, is not efficient at mmWave frequencies due to their directional nature of transmission, as this limits secondary networks' ability to access the spectrum. This inspired us to create an analytical approach using stochastic geometry to examine the implications of directional cognitive sensing in mmWave networks. We explore a scenario where multiple secondary transmitter-receiver pairs coexist with a primary transmitter-receiver pair, forming a cognitive network. The positions of the secondary transmitters are modelled using a homogeneous Poisson point process (PPP) with corresponding secondary receivers located around them. A threshold on directional transmission is imposed on each secondary transmitter in order to limit its interference at the primary receiver. We derive the medium-access-probability of a secondary user along with the fraction of the secondary transmitters active at a time-instant. To understand cognition's feasibility, we derive the coverage probabilities of primary and secondary links. We provide various design insights via numerical results. For example, we investigate the interference-threshold's optimal value while ensuring coverage for both links and its dependence on various parameters. We find that directionality improves both links' performance as a key factor. Further, allowing location-aware secondary directionality can help achieve similar coverage for all secondary links.




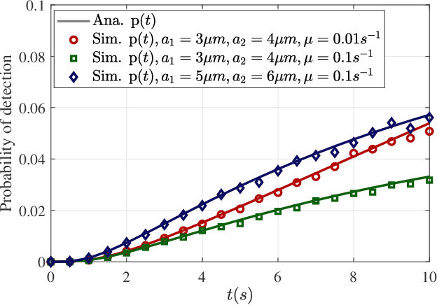
Abstract:Molecular communication is a promising solution to enable intra-body communications among nanomachines. However, malicious and non-cooperative receivers can degrade the performance, compromising these systems' security. Analyzing the communication and security performance of these systems requires accurate channel models. However, such models are not present in the literature. In this work, we develop an analytical framework to derive the hitting probability of a molecule on a fully absorbing receiver (FAR) in the presence of other FARs, which can be either be cooperative or malicious. We first present an approximate hitting probability expression for the 3-FARs case. A simplified expression is obtained for the case when FARs are symmetrically positioned. Using the derived expressions, we study the impact of malicious receivers on the intended receiver and discuss how to minimize this impact to obtain a secure communication channel. We also study the gain that can be obtained by the cooperation of these FARs. We then present an approach to extend the analysis for a system with N FARs. The derived expressions can be used to analyze and design multiple input/output and secure molecular communication systems.