



Abstract:Hybrid quantum-classical neural networks (HQCNNs) represent a promising frontier in machine learning, leveraging the complementary strengths of both models. In this work, we propose the development of TunnElQNN, a non-sequential architecture composed of alternating classical and quantum layers. Within the classical component, we employ the Tunnelling Diode Activation Function (TDAF), inspired by the I-V characteristics of quantum tunnelling. We evaluate the performance of this hybrid model on a synthetic dataset of interleaving half-circle for multi-class classification tasks with varying degrees of class overlap. The model is compared against a baseline hybrid architecture that uses the conventional ReLU activation function (ReLUQNN). Our results show that the TunnElQNN model consistently outperforms the ReLUQNN counterpart. Furthermore, we analyse the decision boundaries generated by TunnElQNN under different levels of class overlap and compare them to those produced by a neural network implementing TDAF within a fully classical architecture. These findings highlight the potential of integrating physics-inspired activation functions with quantum components to enhance the expressiveness and robustness of hybrid quantum-classical machine learning architectures.
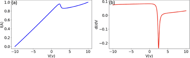
Abstract:The mathematical complexity and high dimensionality of neural networks hinder the training and deployment of machine learning (ML) systems while also requiring substantial computational resources. This fundamental limitation drives ML research, particularly in the exploration of alternative neural network architectures that integrate novel building blocks, such as advanced activation functions. Tunnel diodes are well-known electronic components that utilise the physical effect of quantum tunnelling (QT). Here, we propose using the current voltage characteristic of a tunnel diode as a novel, physics-based activation function for neural networks. We demonstrate that the tunnel-diode activation function (TDAF) outperforms traditional activation functions in terms of accuracy and loss during both training and evaluation. We also highlight its potential for implementation in electronic circuits suited to developing neuromorphic, quantum-inspired AI systems capable of operating in environments not suitable for qubit-based quantum computing hardware.




Abstract:Physical reservoir computing (RC) is a machine learning algorithm that employs the dynamics of a physical system to forecast highly nonlinear and chaotic phenomena. In this paper, we introduce a quantum RC system that employs the dynamics of a probed atom in a cavity. The atom experiences coherent driving at a particular rate, leading to a measurement-controlled quantum evolution. The proposed quantum reservoir can make fast and reliable forecasts using a small number of artificial neurons compared with the traditional RC algorithm. We theoretically validate the operation of the reservoir, demonstrating its potential to be used in error-tolerant applications, where approximate computing approaches may be used to make feasible forecasts in conditions of limited computational and energy resources.