



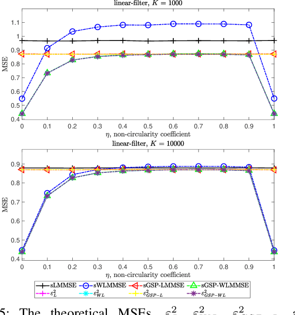
In this paper, we consider the problem of recovering random graph signals with complex values. For general Bayesian estimation of complex-valued vectors, it is known that the widely-linear minimum mean-squared-error (WLMMSE) estimator can achieve a lower mean-squared-error (MSE) than that of the linear minimum MSE (LMMSE) estimator. Inspired by the WLMMSE estimator, in this paper we develop the graph signal processing (GSP)-WLMMSE estimator, which minimizes the MSE among estimators that are represented as a two-channel output of a graph filter, i.e. widely-linear GSP estimators. We discuss the properties of the proposed GSP-WLMMSE estimator. In particular, we show that the MSE of the GSP-WLMMSE estimator is always equal to or lower than the MSE of the GSP-LMMSE estimator. The GSP-WLMMSE estimator is based on diagonal covariance matrices in the graph frequency domain, and thus has reduced complexity compared with the WLMMSE estimator. This property is especially important when using the sample-mean versions of these estimators that are based on a training dataset. We then state conditions under which the low-complexity GSP-WLMMSE estimator coincides with the WLMMSE estimator. In the simulations, we investigate two synthetic estimation problems (with linear and nonlinear models) and the problem of state estimation in power systems. For these problems, it is shown that the GSP-WLMMSE estimator outperforms the GSP-LMMSE estimator and achieves similar performance to that of the WLMMSE estimator.