



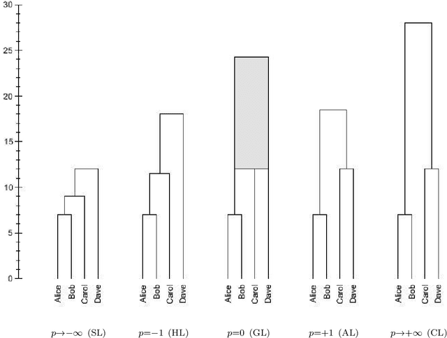
Agglomerative hierarchical clustering can be implemented with several strategies that differ in the way elements of a collection are grouped together to build a hierarchy of clusters. Here we introduce versatile linkage, a new infinite system of agglomerative hierarchical clustering strategies based on generalized means, which go from single linkage to complete linkage, passing through arithmetic average linkage and other clustering methods yet unexplored such as geometric linkage and harmonic linkage. We compare the different clustering strategies in terms of cophenetic correlation, mean absolute error, and also tree balance and space distortion, two new measures proposed to describe hierarchical trees. Unlike the $\beta$-flexible clustering system, we show that the versatile linkage family is space-conserving.