



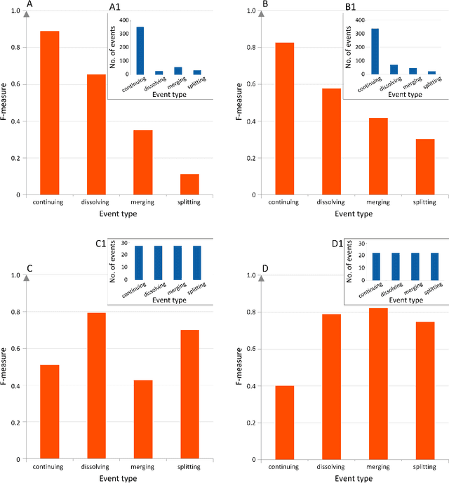
The advancement of science as outlined by Popper and Kuhn is largely qualitative, but with bibliometric data it is possible and desirable to develop a quantitative picture of scientific progress. Furthermore it is also important to allocate finite resources to research topics that have growth potential, to accelerate the process from scientific breakthroughs to technological innovations. In this paper, we address this problem of quantitative knowledge evolution by analysing the APS publication data set from 1981 to 2010. We build the bibliographic coupling and co-citation networks, use the Louvain method to detect topical clusters (TCs) in each year, measure the similarity of TCs in consecutive years, and visualize the results as alluvial diagrams. Having the predictive features describing a given TC and its known evolution in the next year, we can train a machine learning model to predict future changes of TCs, i.e., their continuing, dissolving, merging and splitting. We found the number of papers from certain journals, the degree, closeness, and betweenness to be the most predictive features. Additionally, betweenness increases significantly for merging events, and decreases significantly for splitting events. Our results represent a first step from a descriptive understanding of the Science of Science (SciSci), towards one that is ultimately prescriptive.