



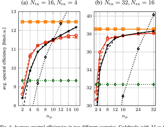
In this work, we propose a joint adaptive codebook construction and feedback generation scheme in frequency division duplex (FDD) systems. Both unsupervised and supervised deep learning techniques are used for this purpose. Based on a recently discovered equivalence of uplink (UL) and downlink (DL) channel state information (CSI) in terms of neural network learning, the codebook and associated deep encoder for feedback signaling is based on UL data only. Subsequently, the feedback encoder can be offloaded to the mobile terminals (MTs) to generate channel feedback there as efficiently as possible, without any training effort at the terminals or corresponding transfer of training and codebook data. Numerical simulations demonstrate the promising performance of the proposed method.