



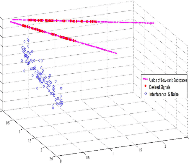
The problem of signal detection using a flexible and general model is considered. Due to applicability and flexibility of sparse signal representation and approximation, it has attracted a lot of attention in many signal processing areas. In this paper, we propose a new detection method based on sparse decomposition in a union of subspaces (UoS) model. Our proposed detector uses a dictionary that can be interpreted as a bank of matched subspaces. This improves the performance of signal detection, as it is a generalization for detectors. Low-rank assumption for the desired signals implies that the representations of these signals in terms of some proper bases would be sparse. Our proposed detector exploits sparsity in its decision rule. We demonstrate the high efficiency of our method in the cases of voice activity detection in speech processing.