
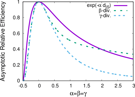
We discuss unbiased estimation equations in a class of objective function using a monotonically increasing function $f$ and Bregman divergence. The choice of the function $f$ gives desirable properties such as robustness against outliers. In order to obtain unbiased estimation equations, analytically intractable integrals are generally required as bias correction terms. In this study, we clarify the combination of Bregman divergence, statistical model, and function $f$ in which the bias correction term vanishes. Focusing on Mahalanobis and Itakura-Saito distances, we provide a generalization of fundamental existing results and characterize a class of distributions of positive reals with a scale parameter, which includes the gamma distribution as a special case. We discuss the possibility of latent bias minimization when the proportion of outliers is large, which is induced by the extinction of the bias correction term.