


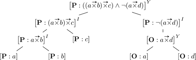
In this paper, we introduce game-theoretic semantics (GTS) for Qualitative Choice Logic (QCL), which, in order to express preferences, extends classical propositional logic with an additional connective called ordered disjunction. Firstly, we demonstrate that game semantics can capture existing degree-based semantics for QCL in a natural way. Secondly, we show that game semantics can be leveraged to derive new semantics for the language of QCL. In particular, we present a new semantics that makes use of GTS negation and, by doing so, avoids problems with negation in existing QCL-semantics.