



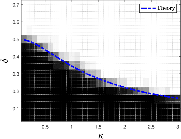
Logistic models are commonly used for binary classification tasks. The success of such models has often been attributed to their connection to maximum-likelihood estimators. It has been shown that gradient descent algorithm, when applied on the logistic loss, converges to the max-margin classifier (a.k.a. hard-margin SVM). The performance of the max-margin classifier has been recently analyzed. Inspired by these results, in this paper, we present and study a more general setting, where the underlying parameters of the logistic model possess certain structures (sparse, block-sparse, low-rank, etc.) and introduce a more general framework (which is referred to as "Generalized Margin Maximizer", GMM). While classical max-margin classifiers minimize the $2$-norm of the parameter vector subject to linearly separating the data, GMM minimizes any arbitrary convex function of the parameter vector. We provide a precise analysis of the performance of GMM via the solution of a system of nonlinear equations. We also provide a detailed study for three special cases: ($1$) $\ell_2$-GMM that is the max-margin classifier, ($2$) $\ell_1$-GMM which encourages sparsity, and ($3$) $\ell_{\infty}$-GMM which is often used when the parameter vector has binary entries. Our theoretical results are validated by extensive simulation results across a range of parameter values, problem instances, and model structures.