



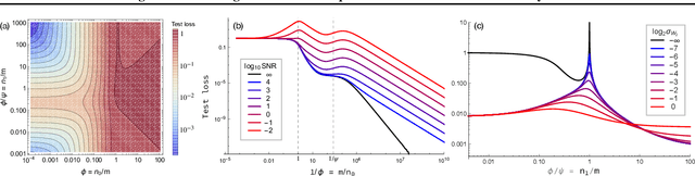
Modern deep learning models employ considerably more parameters than required to fit the training data. Whereas conventional statistical wisdom suggests such models should drastically overfit, in practice these models generalize remarkably well. An emerging paradigm for describing this unexpected behavior is in terms of a \emph{double descent} curve, in which increasing a model's capacity causes its test error to first decrease, then increase to a maximum near the interpolation threshold, and then decrease again in the overparameterized regime. Recent efforts to explain this phenomenon theoretically have focused on simple settings, such as linear regression or kernel regression with unstructured random features, which we argue are too coarse to reveal important nuances of actual neural networks. We provide a precise high-dimensional asymptotic analysis of generalization under kernel regression with the Neural Tangent Kernel, which characterizes the behavior of wide neural networks optimized with gradient descent. Our results reveal that the test error has non-monotonic behavior deep in the overparameterized regime and can even exhibit additional peaks and descents when the number of parameters scales quadratically with the dataset size.