



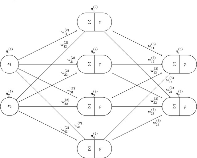
In this paper the Mechanical Neural Network(MNN) is introduced, a physical implementation of a multilayer perceptron(MLP) with ReLU activation functions, two input neurons, four hidden neurons and two output neurons. This physical model of a MLP is used in education to give a hands on experience and allow students to experience the effect of changing the parameters of the network on the output. Neurons are small wooden levers which are connected by threads. Students can adapt the weights between the neurons by moving the clamps connecting a neuron via a thread to the next. The MNN can model real valued functions and logical operators including XOR.