



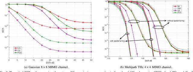
We consider the problem of efficient ultra-massive multiple-input multiple-output (UM-MIMO) data detection in terahertz (THz)-band non-orthogonal multiple access (NOMA) systems. We argue that the most common THz NOMA configuration is power-domain superposition coding over quasi-optical doubly-massive MIMO channels. We propose spatial tuning techniques that modify antenna subarray arrangements to enhance channel conditions. Towards recovering the superposed data at the receiver side, we propose a family of data detectors based on low-complexity channel matrix puncturing, in which higher-order detectors are dynamically formed from lower-order component detectors. We first detail the proposed solutions for the case of superposition coding of multiple streams in point-to-point THz MIMO links. We then extend the study to multi-user NOMA, in which randomly distributed users get grouped into narrow cell sectors and are allocated different power levels depending on their proximity to the base station. We show that successive interference cancellation is carried with minimal performance and complexity costs under spatial tuning. We derive approximate bit error rate (BER) equations, and we propose an architectural design to illustrate complexity reductions. Under typical THz conditions, channel puncturing introduces more than an order of magnitude reduction in BER at high signal-to-noise ratios while reducing complexity by approximately 90%.