

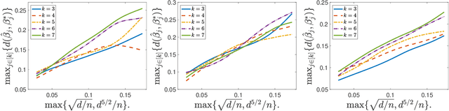
Motivated by the sampling problems and heterogeneity issues common in high- dimensional big datasets, we consider a class of discordant additive index models. We propose method of moments based procedures for estimating the indices of such discordant additive index models in both low and high-dimensional settings. Our estimators are based on factorizing certain moment tensors and are also applicable in the overcomplete setting, where the number of indices is more than the dimensionality of the datasets. Furthermore, we provide rates of convergence of our estimator in both high and low-dimensional setting. Establishing such results requires deriving tensor operator norm concentration inequalities that might be of independent interest. Finally, we provide simulation results supporting our theory. Our contributions extend the applicability of tensor methods for novel models in addition to making progress on understanding theoretical properties of such tensor methods.