



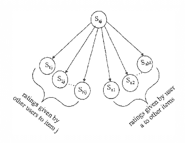
Collaborative filtering is the process of making recommendations regarding the potential preference of a user, for example shopping on the Internet, based on the preference ratings of the user and a number of other users for various items. This paper considers collaborative filtering based on explicitmulti-valued ratings. To evaluate the algorithms, weconsider only {em pure} collaborative filtering, using ratings exclusively, and no other information about the people or items.Our approach is to predict a user's preferences regarding a particularitem by using other people who rated that item and other items ratedby the user as noisy sensors. The noisy sensor model uses Bayes' theorem to compute the probability distribution for the user'srating of a new item. We give two variant models: in one, we learn a{em classical normal linear regression} model of how users rate items; in another,we assume different users rate items the same, but the accuracy of thesensors needs to be learned. We compare these variant models withstate-of-the-art techniques and show how they are significantly better,whether a user has rated only two items or many. We reportempirical results using the EachMovie database footnote{http://research.compaq.com/SRC/eachmovie/} of movie ratings. Wealso show that by considering items similarity along with theusers similarity, the accuracy of the prediction increases.