



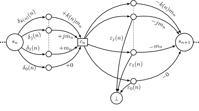
We study countably infinite Markov decision processes (MDPs) with real-valued transition rewards. Every infinite run induces the following sequences of payoffs: 1. Point payoff (the sequence of directly seen transition rewards), 2. Total payoff (the sequence of the sums of all rewards so far), and 3. Mean payoff. For each payoff type, the objective is to maximize the probability that the $\liminf$ is non-negative. We establish the complete picture of the strategy complexity of these objectives, i.e., how much memory is necessary and sufficient for $\varepsilon$-optimal (resp. optimal) strategies. Some cases can be won with memoryless deterministic strategies, while others require a step counter, a reward counter, or both.