

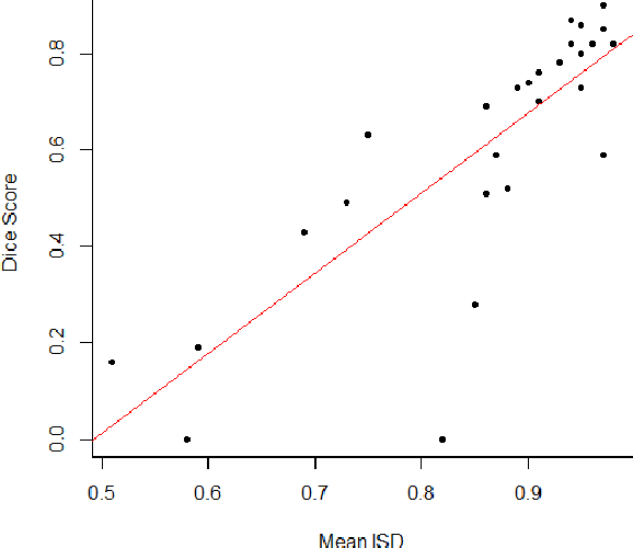
Discriminative convolutional neural networks (CNNs), for which a voxel-wise conditional Multinoulli distribution is assumed, have performed well in many brain lesion segmentation tasks. For a trained discriminative CNN to be used in clinical practice, the patient's radiological features are inputted into the model, in which case a conditional distribution of segmentations is produced. Capturing the uncertainty of the predictions can be useful in deciding whether to abandon a model, or choose amongst competing models. In practice, however, we never know the ground truth segmentation, and therefore can never know the true model variance. In this work, segmentation sampling on discriminative CNNs is used to assess a trained model's robustness by analyzing the inter-sample dice distribution on a new patient solely based on their magnetic resonance (MR) images. Furthermore, by demonstrating the inter-sample Dice observations are independent and identically distributed with a finite mean and variance under certain conditions, a rigorous confidence based decision rule is proposed to decide whether to reject or accept a CNN model for a particular patient. Applied to the ISLES 2015 (SISS) dataset, the model identified 7 predictions as non-robust, and the average Dice coefficient calculated on the remaining brains improved by 12 percent.