



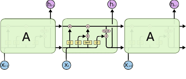
Recently, air pollution is one of the most concerns for big cities. Predicting air quality for any regions and at any time is a critical requirement of urban citizens. However, air pollution prediction for the whole city is a challenging problem. The reason is, there are many spatiotemporal factors affecting air pollution throughout the city. Collecting as many of them could help us to forecast air pollution better. In this research, we present many spatiotemporal datasets collected over Seoul city in Korea, which is currently much suffered by air pollution problem as well. These datasets include air pollution data, meteorological data, traffic volume, average driving speed, and air pollution indexes of external areas which are known to impact Seoul's air pollution. To the best of our knowledge, traffic volume and average driving speed data are two new datasets in air pollution research. In addition, recent research in air pollution has tried to build models to interpolate and predict air pollution in the city. Nevertheless, they mostly focused on predicting air quality in discrete locations or used hand-crafted spatial and temporal features. In this paper, we propose the usage of Convolutional Long Short-Term Memory (ConvLSTM) model \cite{b16}, a combination of Convolutional Neural Networks and Long Short-Term Memory, which automatically manipulates both the spatial and temporal features of the data. Specially, we introduce how to transform the air pollution data into sequences of images which leverages the using of ConvLSTM model to interpolate and predict air quality for the entire city at the same time. We prove that our approach is suitable for spatiotemporal air pollution problems and also outperforms other related research.