



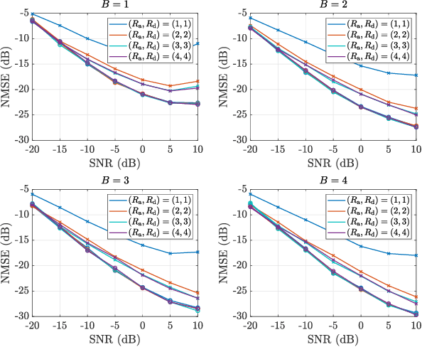
In this paper, a channel estimator for wideband millimeter wave (mmWave) massive multiple-input multiple-output (MIMO) systems with hybrid architectures and low-resolution analog-to-digital converters (ADCs) is proposed. To account for the propagation delay across the antenna array, which cannot be neglected in wideband mmWave massive MIMO systems, the discrete time channel that models the spatial wideband effect is developed. Also, the training signal design that addresses inter-frame, inter-user, and inter-symbol interferences is investigated when the spatial wideband effect is not negligible. To estimate the channel parameters over the continuum based on the maximum a posteriori (MAP) criterion, the Newtonized fully corrective forward greedy selection-cross validation-based (NFCFGS-CV-based) channel estimator is proposed. NFCFGS-CV is a gridless compressed sensing (CS) algorithm, whose termination condition is determined by the CV technique. The CV-based termination condition is proved to achieve the minimum squared error (SE). The simulation results show that NFCFGS-CV outperforms state-of-the-art on-grid CS-based channel estimators.