

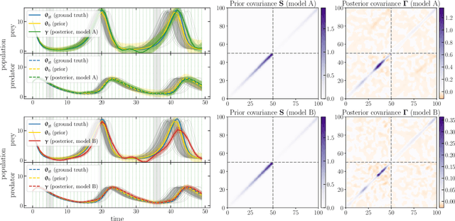
This paper presents recent methodological advances to perform simulation-based inference (SBI) of a general class of Bayesian hierarchical models (BHMs), while checking for model misspecification. Our approach is based on a two-step framework. First, the latent function that appears as second layer of the BHM is inferred and used to diagnose possible model misspecification. Second, target parameters of the trusted model are inferred via SBI. Simulations used in the first step are recycled for score compression, which is necessary to the second step. As a proof of concept, we apply our framework to a prey-predator model built upon the Lotka-Volterra equations and involving complex observational processes.