



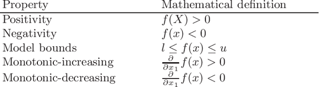
Shape-constrained symbolic regression (SCSR) allows to include prior knowledge into data-based modeling. This inclusion allows to ensure that certain expected behavior is better reflected by the resulting models. The expected behavior is defined via constraints, which refer to the function form e.g. monotonicity, concavity, convexity or the models image boundaries. In addition to the advantage of obtaining more robust and reliable models due to defining constraints over the functions shape, the use of SCSR allows to find models which are more robust to noise and have a better extrapolation behavior. This paper presents a mutlicriterial approach to minimize the approximation error as well as the constraint violations. Explicitly the two algorithms NSGA-II and NSGA-III are implemented and compared against each other in terms of model quality and runtime. Both algorithms are capable of dealing with multiple objectives, whereas NSGA-II is a well established multi-objective approach performing well on instances with up-to 3 objectives. NSGA-III is an extension of the NSGA-II algorithm and was developed to handle problems with "many" objectives (more than 3 objectives). Both algorithms are executed on a selected set of benchmark instances from physics textbooks. The results indicate that both algorithms are able to find largely feasible solutions and NSGA-III provides slight improvements in terms of model quality. Moreover, an improvement in runtime can be observed using the many-objective approach.