



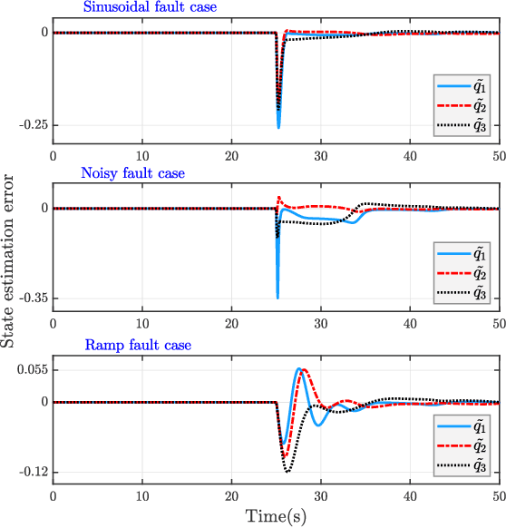
This paper focuses on sensor fault detection and compensation for robotic manipulators. The proposed method features a new adaptive observer and a new terminal sliding mode control law established on a second-order integral sliding surface. The method enables sensor fault detection without the need to impose known bounds on fault value and/or its derivative. It also enables fast and fixed-time fault-tolerant control whose performance can be prescribed beforehand by defining funnel bounds on the tracking error. The ultimate boundedness of the estimation errors for the proposed observer and the fixed-time stability of the control system are shown using Lyapunov stability analysis. The effectiveness of the proposed method is verified using numerical simulations on two different robotic manipulators, and the results are compared with existing methods. Our results demonstrate performance gains obtained by the proposed method compared to the existing results.