



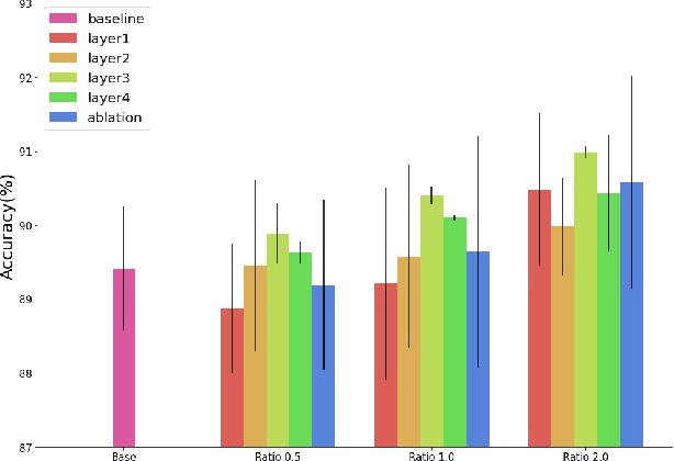
Consistency training, which exploits both supervised and unsupervised learning with different augmentations on image, is an effective method of utilizing unlabeled data in semi-supervised learning (SSL) manner. Here, we present another version of the method with Grad-CAM consistency loss, so it can be utilized in training model with better generalization and adjustability. We show that our method improved the baseline ResNet model with at most 1.44 % and 0.31 $\pm$ 0.59 %p accuracy improvement on average with CIFAR-10 dataset. We conducted ablation study comparing to using only psuedo-label for consistency training. Also, we argue that our method can adjust in different environments when targeted to different units in the model. The code is available: https://github.com/gimme1dollar/gradcam-consistency-semi-sup.