



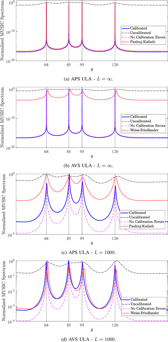
In this work, we consider the problem of joint calibration and direction-of-arrival (DOA) estimation using sensor arrays. This joint estimation problem is referred to as self calibration. Unlike many previous iterative approaches, we propose geometry independent convex optimization algorithms for jointly estimating the sensor gain and phase errors as well as the source DOAs. We derive these algorithms based on both the conventional element-space data model and the covariance data model. We focus on sparse and regular arrays formed using scalar sensors as well as vector sensors. The developed algorithms are obtained by transforming the underlying bilinear calibration model into a linear model, and subsequently by using standard convex relaxation techniques to estimate the unknown parameters. Prior to the algorithm discussion, we also derive identifiability conditions for the existence of a unique solution to the self calibration problem. To demonstrate the effectiveness of the developed techniques, numerical experiments and comparisons to the state-of-the-art methods are provided. Finally, the results from an experiment that was performed in an anechoic chamber using an acoustic vector sensor array are presented to demonstrate the usefulness of the proposed self calibration techniques.