


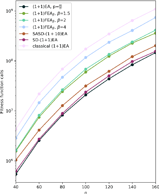
Recent theoretical research has shown that self-adjusting and self-adaptive mechanisms can provably outperform static settings in evolutionary algorithms for binary search spaces. However, the vast majority of these studies focuses on unimodal functions which do not require the algorithm to flip several bits simultaneously to make progress. In fact, existing self-adjusting algorithms are not designed to detect local optima and do not have any obvious benefit to cross large Hamming gaps. We suggest a mechanism called stagnation detection that can be added as a module to existing evolutionary algorithms (both with and without prior self-adjusting algorithms). Added to a simple (1+1) EA, we prove an expected runtime on the well-known Jump benchmark that corresponds to an asymptotically optimal parameter setting and outperforms other mechanisms for multimodal optimization like heavy-tailed mutation. We also investigate the module in the context of a self-adjusting (1+$\lambda$) EA and show that it combines the previous benefits of this algorithm on unimodal problems with more efficient multimodal optimization. To explore the limitations of the approach, we additionally present an example where both self-adjusting mechanisms, including stagnation detection, do not help to find a beneficial setting of the mutation rate. Finally, we investigate our module for stagnation detection experimentally.