



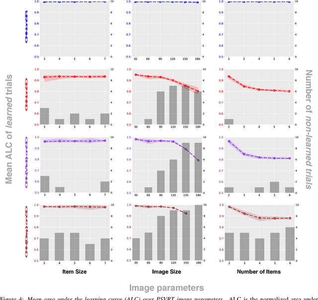
The robust and efficient recognition of visual relations in images is a hallmark of biological vision. We argue that, despite recent progress in visual recognition, modern machine vision algorithms are severely limited in their ability to learn visual relations. Through controlled experiments, we demonstrate that visual-relation problems strain convolutional neural networks (CNNs). The networks eventually break altogether when rote memorization becomes impossible, as when intra-class variability exceeds network capacity. Motivated by the comparable success of biological vision, we argue that feedback mechanisms including attention and perceptual grouping may be the key computational components underlying abstract visual reasoning.\