



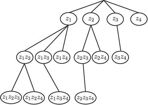
Taking into account high-order interactions among covariates is valuable in many practical regression problems. This is, however, computationally challenging task because the number of high-order interaction features to be considered would be extremely large unless the number of covariates is sufficiently small. In this paper, we propose a novel efficient algorithm for LASSO-based sparse learning of such high-order interaction models. Our basic strategy for reducing the number of features is to employ the idea of recently proposed safe feature screening (SFS) rule. An SFS rule has a property that, if a feature satisfies the rule, then the feature is guaranteed to be non-active in the LASSO solution, meaning that it can be safely screened-out prior to the LASSO training process. If a large number of features can be screened-out before training the LASSO, the computational cost and the memory requirment can be dramatically reduced. However, applying such an SFS rule to each of the extremely large number of high-order interaction features would be computationally infeasible. Our key idea for solving this computational issue is to exploit the underlying tree structure among high-order interaction features. Specifically, we introduce a pruning condition called safe feature pruning (SFP) rule which has a property that, if the rule is satisfied in a certain node of the tree, then all the high-order interaction features corresponding to its descendant nodes can be guaranteed to be non-active at the optimal solution. Our algorithm is extremely efficient, making it possible to work, e.g., with 3rd order interactions of 10,000 original covariates, where the number of possible high-order interaction features is greater than 10^{12}.