



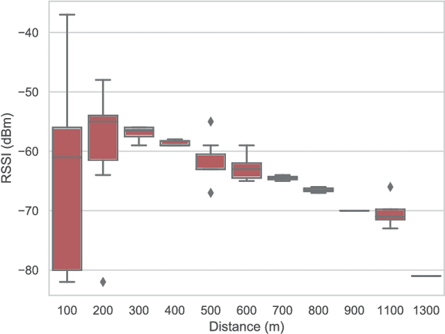
Localization of a target object has been performed conventionally using multiple terrestrial reference nodes. This paradigm is recently shifted towards utilization of unmanned aerial vehicles (UAVs) for locating target objects. Since locating of a target using simultaneous multiple UAVs is costly and impractical, achieving this task by utilizing single UAV becomes desirable. Hence, in this paper, we propose an RSSI-based localization method that utilizes only a single UAV. The proposed approach is based on clustering method along with the Singular Value Decomposition (SVD). The performance of the proposed method is verified by the experimental measurements collected by a UAV that we have designed and computer simulations. The results show that the proposed method can achieve location accuracy as low as 7m depending on the number of iterations.