



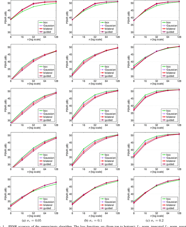
A robust estimator, namely M-smoother, for piecewise-constant smoothing is revisited in this paper. Starting from its generalized formulation, we propose a numerical scheme/framework for solving it via a series of weighted-average filtering (e.g., box filtering, Gaussian filtering, bilateral filtering, and guided filtering). Because of the equivalence between M-smoother and local-histogram-based filters (such as median filter and mode filter), the proposed framework enables fast approximation of histogram filters via a number of box filtering or Gaussian filtering. In addition, high-quality piecewise-constant smoothing can be achieved via a number of bilateral filtering or guided filtering integrated in the proposed framework. Experiments on depth map denoising show the effectiveness of our framework.