

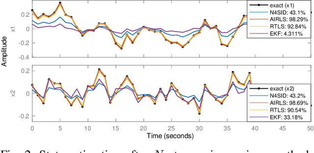
This paper presents a method for jointly estimating the state, input, and parameters of linear systems in an online fashion. The method is specially designed for measurements that are corrupted with non-Gaussian noise or outliers, which are commonly found in engineering applications. In particular, it combines recursive, alternating, and iteratively-reweighted least squares into a single, one-step algorithm, which solves the estimation problem online and benefits from the robustness of least-deviation regression methods. The convergence of the iterative method is formally guaranteed. Numerical experiments show the good performance of the estimation algorithm in presence of outliers and in comparison to state-of-the-art methods.