


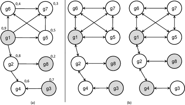
An intelligent agent may in general pursue multiple procedural goals simultaneously, which may lead to arise some conflicts (incompatibilities) among them. In this paper, we focus on the incompatibilities that emerge due to resources limitations. Thus, the contribution of this article is twofold. On one hand, we give an algorithm for identifying resource incompatibilities from a set of pursued goals and, on the other hand, we propose two ways for selecting those goals that will continue to be pursued: (i) the first is based on abstract argumentation theory, and (ii) the second based on two algorithms developed by us. We illustrate our proposal using examples throughout the article.