



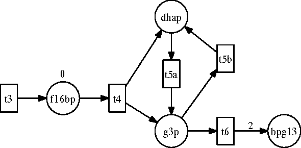
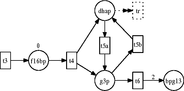
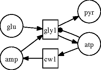
Biological organisms are composed of numerous interconnected biochemical processes. Diseases occur when normal functionality of these processes is disrupted. Thus, understanding these biochemical processes and their interrelationships is a primary task in biomedical research and a prerequisite for diagnosing diseases, and drug development. Scientists studying these processes have identified various pathways responsible for drug metabolism, and signal transduction, etc. Newer techniques and speed improvements have resulted in deeper knowledge about these pathways, resulting in refined models that tend to be large and complex, making it difficult for a person to remember all aspects of it. Thus, computer models are needed to analyze them. We want to build such a system that allows modeling of biological systems and pathways in such a way that we can answer questions about them. Many existing models focus on structural and/or factoid questions, using surface-level knowledge that does not require understanding the underlying model. We believe these are not the kind of questions that a biologist may ask someone to test their understanding of the biological processes. We want our system to answer the kind of questions a biologist may ask. Such questions appear in early college level text books. Thus the main goal of our thesis is to develop a system that allows us to encode knowledge about biological pathways and answer such questions about them demonstrating understanding of the pathway. To that end, we develop a language that will allow posing such questions and illustrate the utility of our framework with various applications in the biological domain. We use some existing tools with modifications to accomplish our goal. Finally, we apply our system to real world applications by extracting pathway knowledge from text and answering questions related to drug development.