


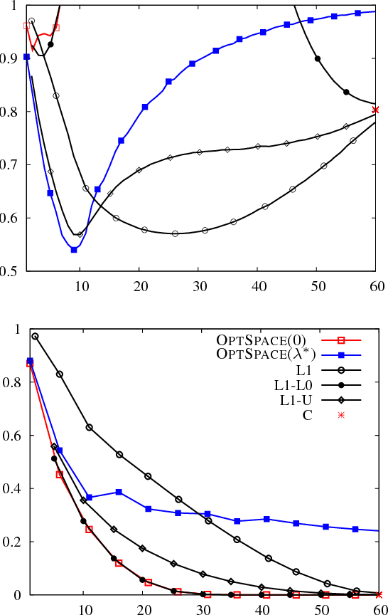
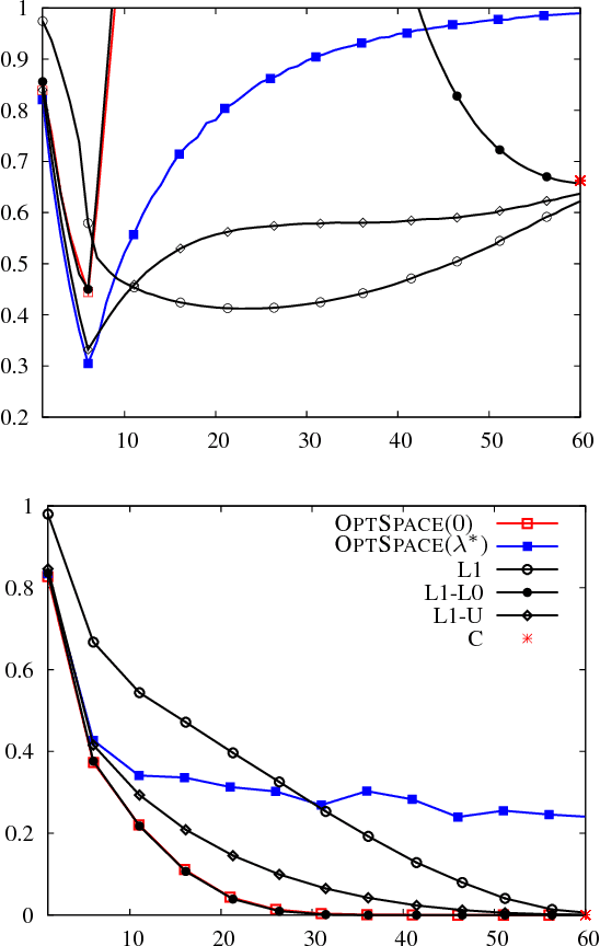
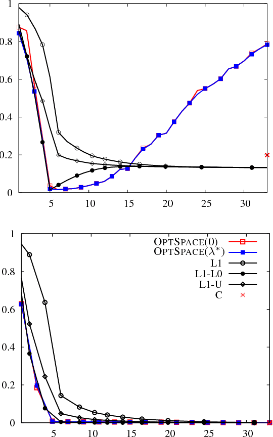
We consider the problem of reconstructing a low rank matrix from noisy observations of a subset of its entries. This task has applications in statistical learning, computer vision, and signal processing. In these contexts, "noise" generically refers to any contribution to the data that is not captured by the low-rank model. In most applications, the noise level is large compared to the underlying signal and it is important to avoid overfitting. In order to tackle this problem, we define a regularized cost function well suited for spectral reconstruction methods. Within a random noise model, and in the large system limit, we prove that the resulting accuracy undergoes a phase transition depending on the noise level and on the fraction of observed entries. The cost function can be minimized using OPTSPACE (a manifold gradient descent algorithm). Numerical simulations show that this approach is competitive with state-of-the-art alternatives.