



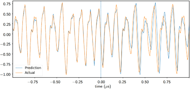
Reservoir computing is a neural network approach for processing time-dependent signals that has seen rapid development in recent years. Physical implementations of the technique using optical reservoirs have demonstrated remarkable accuracy and processing speed at benchmark tasks. However, these approaches require an electronic output layer to maintain high performance, which limits their use in tasks such as time-series prediction, where the output is fed back into the reservoir. We present here a reservoir computing scheme that has rapid processing speed both by the reservoir and the output layer. The reservoir is realized by an autonomous, time-delay, Boolean network configured on a field-programmable gate array. We investigate the dynamical properties of the network and observe the fading memory property that is critical for successful reservoir computing. We demonstrate the utility of the technique by training a reservoir to learn the short- and long-term behavior of a chaotic system. We find accuracy comparable to state-of-the-art software approaches of similar network size, but with a superior real-time prediction rate up to 160 MHz.