



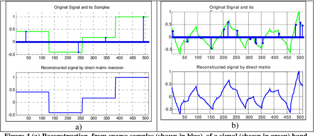
A common distortion in videos is image instability in the form of chaotic (global and local displacements). Those instabilities can be used to enhance image resolution by using subpixel elastic registration. In this work, we investigate the performance of such methods over the ability to improve the resolution by accumulating several frames. The second part of this work deals with reconstruction of discrete signals from a subset of samples under different basis functions such as DFT, Haar, Walsh, Daubechies wavelets and CT (Radon) projections.