



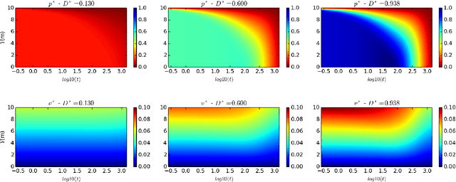
Physics-informed neural networks (PINNs) have received significant attention as a unified framework for forward, inverse, and surrogate modeling of problems governed by partial differential equations (PDEs). Training PINNs for forward problems, however, pose significant challenges, mainly because of the complex non-convex and multi-objective loss function. In this work, we present a PINN approach to solving the equations of coupled flow and deformation in porous media for both single-phase and multiphase flow. To this end, we construct the solution space using multi-layer neural networks. Due to the dynamics of the problem, we find that incorporating multiple differential relations into the loss function results in an unstable optimization problem, meaning that sometimes it converges to the trivial null solution, other times it moves very far from the expected solution. We report a dimensionless form of the coupled governing equations that we find most favourable to the optimizer. Additionally, we propose a sequential training approach based on the stress-split algorithms of poromechanics. Notably, we find that sequential training based on stress-split performs well for different problems, while the classical strain-split algorithm shows an unstable behaviour similar to what is reported in the context of finite element solvers. We use the approach to solve benchmark problems of poroelasticity, including Mandel's consolidation problem, Barry-Mercer's injection-production problem, and a reference two-phase drainage problem. The Python-SciANN codes reproducing the results reported in this manuscript will be made publicly available at https://github.com/sciann/sciann-applications.