



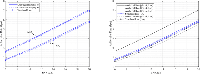
This paper analyses the data rate achieved by various relay selection schemes in a single-user multi-hop relay network with decode-and-forward (DF) relaying. While the single-user relay selection problem is well studied in the literature, research on achievable rate maximization is limited to dual-hop networks and multi-hop networks with a single relay per hop. We fill this important gap by focusing on achievable rate maximization in multi-hop, multi-relay networks. First, we consider optimal relay selection and obtain two approximations to the achievable rate. Next, we consider three existing sub-optimal relay selection strategies namely hop-by-hop, ad-hoc and block-by-block relay selection and obtain exact expressions for the achievable rate under each of these strategies. We also extend the sliding window based relay selection to the DF relay network and derive an approximation to the achievable rate. Further, we investigate the impact of window size in sliding window based relay selection and show that a window size of three is sufficient to achieve most of the possible performance gains. Finally, we extend this analysis to a noise limited multi-user network where the number of available relay nodes is large compared to the number of users and derive approximations to the achievable sum-rate.