


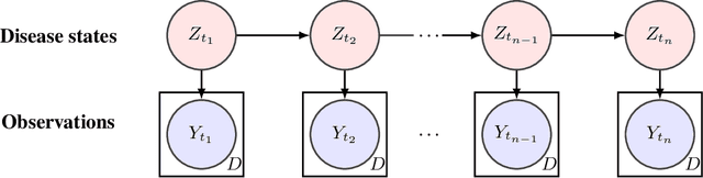
Patient subtyping based on temporal observations can lead to significantly nuanced subtyping that acknowledges the dynamic characteristics of diseases. Existing methods for subtyping trajectories treat the evolution of clinical observations as a homogeneous process or employ data available at regular intervals. In reality, diseases may have transient underlying states and a state-dependent observation pattern. In our paper, we present an approach to subtype irregular patient data while acknowledging the underlying progression of disease states. Our approach consists of two components: a probabilistic model to determine the likelihood of a patient's observation trajectory and a mixture model to measure similarity between asynchronous patient trajectories. We demonstrate our model by discovering subtypes of progression to hemodynamic instability (requiring cardiovascular intervention) in a patient cohort from a multi-institution ICU dataset. We find three primary patterns: two of which show classic signs of decompensation (rising heart rate with dropping blood pressure), with one of these showing a faster course of decompensation than the other. The third pattern has transient period of low heart rate and blood pressure. We also show that our model results in a 13% reduction in average cross-entropy error compared to a model with no state progression when forecasting vital signs.