



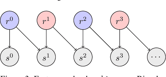
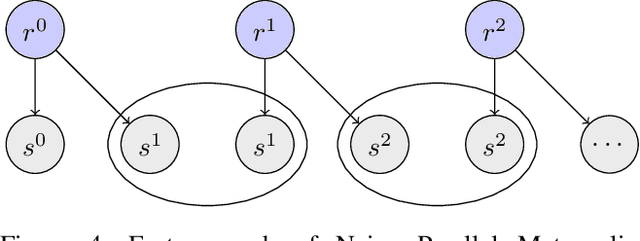
We introduce a novel approach for parallelizing MCMC inference in models with spatially determined conditional independence relationships, for which existing techniques exploiting graphical model structure are not applicable. Our approach is motivated by a model of seismic events and signals, where events detected in distant regions are approximately independent given those in intermediate regions. We perform parallel inference by coloring a factor graph defined over regions of latent space, rather than individual model variables. Evaluating on a model of seismic event detection, we achieve significant speedups over serial MCMC with no degradation in inference quality.