



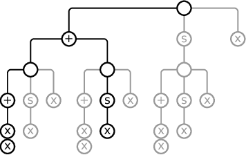
We propose a novel method for automatic program synthesis. P-Tree Programming represents the program search space through a single probabilistic prototype tree. From this prototype tree we form program instances which we evaluate on a given problem. The error values from the evaluations are propagated through the prototype tree. We use them to update the probability distributions that determine the symbol choices of further instances. The iterative method is applied to several symbolic regression benchmarks from the literature. It outperforms standard Genetic Programming to a large extend. Furthermore, it relies on a concise set of parameters which are held constant for all problems. The algorithm can be employed for most of the typical computational intelligence tasks such as classification, automatic program induction, and symbolic regression.