



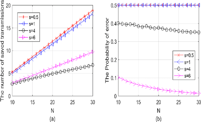
The ordered transmission (OT) scheme reduces the number of transmissions needed in the network to make the final decision, while it maintains the same probability of error as the system without using OT scheme. In this paper, we investigate the performance of the system using OT scheme in the presence of Byzantine attacks for binary hypothesis testing problem. We analyze the probability of error for the system under attack and evaluate the number of transmissions saved using Monte Carlo method. We also derive the bounds for the number of transmissions saved in the system under attack. The optimal attacking strategy for the OT-based system is investigated. Simulation results show that the Byzantine attacks have significant impact on the number of transmissions saved even when the signal strength is sufficiently large.