



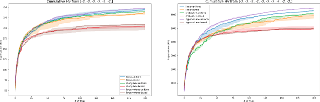
Scalarization is a general technique that can be deployed in any multiobjective setting to reduce multiple objectives into one, such as recently in RLHF for training reward models that align human preferences. Yet some have dismissed this classical approach because linear scalarizations are known to miss concave regions of the Pareto frontier. To that end, we aim to find simple non-linear scalarizations that can explore a diverse set of $k$ objectives on the Pareto frontier, as measured by the dominated hypervolume. We show that hypervolume scalarizations with uniformly random weights are surprisingly optimal for provably minimizing the hypervolume regret, achieving an optimal sublinear regret bound of $O(T^{-1/k})$, with matching lower bounds that preclude any algorithm from doing better asymptotically. As a theoretical case study, we consider the multiobjective stochastic linear bandits problem and demonstrate that by exploiting the sublinear regret bounds of the hypervolume scalarizations, we can derive a novel non-Euclidean analysis that produces improved hypervolume regret bounds of $\tilde{O}( d T^{-1/2} + T^{-1/k})$. We support our theory with strong empirical performance of using simple hypervolume scalarizations that consistently outperforms both the linear and Chebyshev scalarizations, as well as standard multiobjective algorithms in bayesian optimization, such as EHVI.